Многоканальная вытяжная установка Vakio Smartex 500 Silent предназначена для быстрого и эффективного удаления загрязненного (пыль, неприятные запахи) или отработанного воздуха (высокий уровень CO2) из нескольких помещений одновременно. В зависимости от технической возможности воздух может выводиться на улицу, в чердачное пространство или на крышу.
Установка не предназначена для отвода воздуха из зоны готовки! Не допускается использовать установку для отвода воздушной смеси, которая содержит: тяжёлую (в т.ч. металлическую) пыль, аэрозоль (мука), липкие вещества и волокнистые материалы, легковоспламеняющиеся пары (спирт, инсектициды, бензин).
Настоятельно не рекомендуется подключать вытяжную установку к общедомовому вентиляционному каналу в многоквартирном доме, если в доме используется совмещенный с соседними квартирами вентиляционный канал.
Особенности
- Производительность до 630 м³/час
- 4 канала для вытяжки одновременно
- Удобный в обслуживании компактный корпус
- 7 скоростей управления через мобильное приложение Vakio Smart Control
- Поддерживаемые протоколы связи Wi-Fi, MQTT
- Управление через мобильное приложение VAKIO Smart Control и настройка Smart режимов от внутреннего датчика влажности
- Создание собственной экосистемы совместно с VAKIO ATМOSPHERE
- Открытое API и MQTT-протокол для интеграции в системы умных домов
- Уровень шума до 65 дБ
- Настенный пульт управления
- Комбинированный фильтр (сетка + фильтр класса G3)
Конструкция
Вытяжная установка представляет собой единый тепло звукоизолированный блок, внутри которого расположен центробежный вентилятор с обратнозагнутыми лопатками и фильтр грубой очистки. Имеется четыре вытяжных канала Ø125мм. Выходной патрубок Ø160мм.

Монтаж
Монтаж вытяжной установки может быть выполнен на полу, стене или потолке внутри помещения, вблизи вентиляционного отверстия, через которое будет осуществляться вывод отработанного воздуха. В месте вывода отработанного воздуха обязательно должен быть установлен обратный клапан.
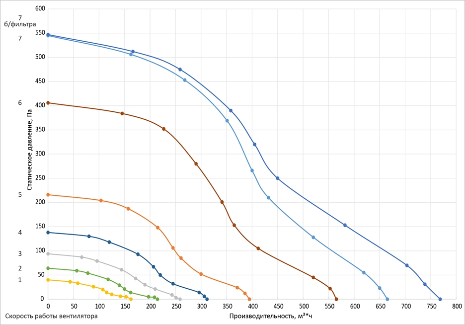
Технические и аэродинамические характеристики


Комплект поставки
- Прибор
- Настенный пульт управления
- Обратный клапан
- Комплект кронштейнов подвесного крепления
- Комплект фланцев с патрубком Ø125
- Фланец с патрубком Ø160
- Кабельный ввод
- Антенна WIFI
- Фильтр грубой очистки
- Руководство пользователя
| Характеристики вентустановки | |
| Режимы работы | Вытяжка |
| Расход воздуха, м³/ч | 665 |
| Потребляемая мощность, Вт | 90 |
| Уровень шума, дБ | 65 |
| Напряжение питания, В | 110-240 |
| Максимальное давление, Па | 550 |
| Диаметр подключения, мм | 125 / 160 |
| Вес, кг | 16.4 |
| Фильтрация | G3 |
| Тип монтажа | Вертикальный / Горизонтальный / Подвесной |
| Особенности управления | Пульт управления / WiFi |

Гарантия: 12 месяцев
Производитель:
ООО "Вакио", Россия, Новосибирск, ул. Дачная, д. 60, оф. 106
Импортер:
ЧТУП "Фалина", Минск, ул. П.Бровки, д. 19, оф.130
Сервисный центр:
ЧТУП "Фалина", Минск, ул. П.Бровки, д. 19, оф.130